劍桿引緯是以劍桿頭作為引緯器握持緯絲,在剛性或撓性劍桿的推動下穿越梭口,將緯絲引入梭口。雙劍桿引緯過程中緯絲必須進行交接。
1.剛性劍桿引緯原理
在引緯過程中,剛性劍桿運動要求平穩,在梭口內作相對筘座的平直運行,保證懸空在梭口中,對經絲不發生磨損。如圖2-24所示為剛性劍桿WATT傳動裝置的示意圖。劍桿1與投劍板2上端相連。由于采用分離式筘座,WATT傳動裝置隨筘座一起運動,要使剛性劍桿在梭口內作相對筘座的平直運動,必須使A點相對筘座作平直運動。

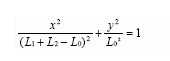
為了分析A點相對筘座的運動規律,設雙臂桿4的擺動支點o為坐標中心,取o至滑塊3的中心B的矢量OB為坐標y軸,過o作直線垂直于OB為坐標x軸,投劍板2與x軸的交點為a。雙臂桿4的OD長度為L,雙臂桿D端鉸接在投劍板2上,將投劍板2分為AD、DB二段,長度分別為L2、L1。設E(x,y)為投劍板上的任一點,距離a點L0,在任何時刻,投劍板與y軸的夾角為?1,雙臂桿OD與y軸的夾角為?2,則可建立E點的:

消去?1得到E的運動方程:

當E點與D點重合時,L0=L2,得到與D點重合時E點運動方程:

而D點是繞支點o作半徑為L的圓周運動,所以,得到:
L1=L2=L (2-17)
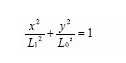
當E點與投劍板與x軸交點a重合時,L0=0,得到:
(L1+L2)2y2=0
由于(L1+L2)2≠0,所以:
y=0 (2-18)
即:將剛性劍桿與投劍板的鉸接點A置于a點時,則剛性劍桿相對筘座作平直運動。
綜上分析,WATT傳動裝置適用于剛性劍桿的傳動,為了保證剛性劍桿作相對筘座的平直運動,下滑塊與雙臂桿支點的連線必須保持垂直,雙臂桿與投劍板的鉸接點位于投劍板中心,且投劍板長度是雙臂桿長度的兩倍。
2.撓性劍桿引緯原理
撓性劍桿引緯的劍帶傳動是一種特殊的帶傳動,如圖2-23(c)所示,劍帶3上有矩形齒孔,與劍帶輪4的輪齒

劍帶與劍帶輪的嚙合角通常為1200~1800。劍帶輪的大小及嚙合形式是造成劍帶磨損的主要原因之一。表2-7所示為劍帶輪改進前后嚙合齒平均受力實例。劍帶輪直徑增加,劍帶包圍在劍帶輪上的曲率半徑減

小,當劍帶與劍帶輪的嚙合角增加到1800時,減少了曲率半徑變化(撓曲點)的次數,劍帶與劍帶輪嚙合齒的平均受力下降,從而延長了劍帶的使用壽命。
相關信息 







推薦企業
推薦企業
推薦企業