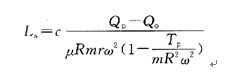
由于轉杯對紗條施加的捻度和假捻盤對紗條施加的假捻,使杯內紗段獲得強捻,捻度向凝聚槽內傳遞,使剝離點后方的凝聚須條上產生一段有捻紗段,這段紗的弧長稱捻度傳遞長度P.T.E.(PeripheralTwistExtent)。通過對傳遞區內的紗條進行受力分析,求得捻度傳遞長度的表達式如下:

式中:Qp為剝離點扭力矩;Q0為凝聚槽內有捻與無捻紗條分界處的扭矩;r為紗條半徑;Tp為剝離點紗條張力;R為轉杯半徑;ω為轉杯角速度;m為紗條質量;μ為紗條與凝聚槽間的摩擦系數;c為與凝聚槽和摩擦系數有關的系數。
從上式可以看出:捻度傳遞長度主要由剝離點扭力矩QP和有捻與無捻紗條分界處的抗扭力矩Q0的大小決定。QP與假捻盤的材質及結構參數(形狀和直徑)、轉杯直徑及速度、成紗線密度及捻系數有關。Q0則與無捻須條的狀態和凝聚槽對無捻須條的摩擦阻力矩有關,即凝聚角大小、材質、須條緊密度等凝聚槽的結構參數以及纖維性質、須條中塵雜情況有關。要真正求出不同情況下捻度傳遞長度的數量級是相當復雜和困難的。
捻度傳遞長度能提高紗條在剝離點處的強力,是能否順利剝離、順利紡紗的必要條件。但捻度傳遞長度過長,會使紗芯和表面的捻度差異過大,從而降低加捻效率,增加纏繞纖維,這對成紗質量不利。因此,捻度傳遞長度必須根據所紡纖維的原料和紗線線密度及加工條件不同而適當調整。
加捻效率
理論上,轉杯紗的捻度應由轉杯速度與引紗速度決定,與假捻盤沒有關系。但實際上,轉杯紗捻度及加捻效率與假捻盤有直接關系。追究其原因,是剝離點之后的捻度傳遞長度的影響。落人捻度傳遞長度上的部分纖維最終所獲得的捻回比紗芯捻度少,造成捻度損失,降低了加捻效率。在實際生產中發現,轉杯紡的加捻效率有時僅60%且與轉杯速度有關。轉杯速度越高,加捻效率越低,如圖3—21所示。

正反向紡紗
紗條能否從剝離點順利剝離,必須要求剝離點處的須條動態強力大于該處須條能承受的動態張力,且剝離
剝離點的運動速度大于轉杯轉速,為正向剝取,即正常紡紗狀態,稱“正向紡紗”,如圖3—22(a)所示。圖3—22(b)所示為反向剝取,即“反向紡紗”,剝離點的運動速度小于轉杯的轉速。

相關信息 







推薦企業
推薦企業
推薦企業