梭口
一、梭口的形狀
織機上的經紗是沿織機的縱向(前后)配置的,如圖7-1所示。經紗從織軸引出后,繞過后梁E和經停架中導棒D,穿過綜眼C和鋼筘,在織口B處同緯紗交織成布,再繞過胸梁A,而后卷繞到卷布輥上形成布卷。
開口時,經紗隨著綜框的運動被分成上下兩層,形成一個棱形的通道BC1DC2,這就是梭口。構成梭口上方的一層經紗BC1D為上層經紗,而下方BC2D為下層經紗。梭口完全閉合時,兩層經紗又隨著綜框回到原來的位置BCD,此位置稱為經紗的綜平位置。
梭口的尺寸通常以梭口高度、長度和梭口角等衡量。開口時經紗隨同綜框作上下運動時的最大位移C1C2稱為梭口的高度H,從織口B到經停架中導棒D之間的水平距離為梭口的長度,它由前半部長度L1和后半部長度L2組成,L1與L2的比值稱為梭口的對稱度。梭口的前半部BC1C2是梭口的工作部分,梭子或其它引緯器即從這里通過并納入緯紗,完成經緯交織,∠C1BC2稱為梭口前角,∠C1DC2稱為梭口后角。通常,在梭口的高度相同的條件下,為了得到比較大的梭口前角和筘前梭口高度(上、下層經紗與鋼筘交點的距離)以利于引緯,常采用前半部梭口長度小于后半部長度的不對稱梭口。
經紗處于綜平位置時,經紗自織口到后梁同有關機件相接觸的各點聯接線稱為經紗位置線,如圖7-1中的連線BCDE。如果D、E兩點在BC直線的延長線上,則經紗位置線將是一根直線,稱為經直線。經直線只是經紗位置線的一個特例。折線ABCDE則稱之為織機上機線。在一般情況下,梭口形狀在梭口高度方向上并不對稱。
在織機上機線上,ABC必為一條直線。同時,經停架中導棒位置C隨后梁高度d的改變而改變,使CDF始終成一條直線。一般胸梁高度不變,胸梁表面常作為基準用于衡量織口、綜平時的綜眼以及后梁相對于胸梁的高度。織口和綜平時的綜眼位置
二、梭口形成方式
不同類型的開口機構,在開口過程中形成梭口的方式不完全相同。按開口過程中經紗的運動特征,它們分為中央閉合梭口、全開梭口和半開梭口。
(一)中央閉合梭口
在每次開口運動中,全部經紗都由綜平位置出發,分別向上、下兩個方向分開形成所需梭口。在梭口閉合時,所有上下層經紗都要回到綜平位置。這種開口方式要求不論該綜框的經紗下一次開口時是否保持在原來位置,都必須回到綜平位置,然后再根據下一次梭口的要求由綜平位置出發,如圖7-2(1)所示。圖中的織物組織均為
斜紋,織物組織圖如圖中(4)所示。
中央閉合梭口的開口方式,開口過程中上下層經紗的張力變化規律一致,可通過后梁的擺動進行集中調節。由于經紗每次都能回到綜平位置,故對擋車工處理斷頭是方便的。但這種開口方式增加了經紗受拉伸和摩擦的次數,可能增加經紗的斷頭,且形成梭口時,所有經紗都在運動,梭口不夠穩定,對引緯不利。一些毛織機和絲織機上的多臂開口機構或提花開口機構采用中央閉合梭口的開口方式。
(二)全開梭口
這種開口方式僅要求下一次開口時,經紗要變換位置的綜框升、降到新的位置,而其它經紗所在的綜框保持靜止不動,如圖7-2(2)所示。全開梭口的開口方式使開口過程中經紗受拉伸和摩擦的次數減少,有利于降低經紗的斷頭率,且形成梭口時只有部分經紗在運動,梭口較穩定,對引緯也是有利的。但由于綜平時經紗不匯合成一片,故在織造非平紋組織的織物時需專門設置平綜裝置,以利于處理經紗斷頭。凸輪、多臂和提花三種開口機構均可采用全開梭口的開口方式。
(三)半開梭口
這種開口方式與全開梭口基本相同,按照織物組織的要求,僅部分經紗上下交換位置,而需要繼續留在下層的經紗保持不動,但需要留在上層的經紗則須稍微
三、梭口清晰程度
織機上常采用多頁綜織造,考慮到各頁綜作升降運動時不相互干擾,彼比之間需有一定間距,因而各頁綜至織口的距離各不相同。各頁綜的動程配置使梭口滿開時會形成不同清晰程度的梭口。梭口的清晰程度,對能否順利引緯以及降低經紗斷頭等有重要影響。
在梭口滿開時,若某頁綜框的梭口高度Hi(i=1,2…)與該頁綜框到織口的距離Li(i=1,2…)成正比,則梭口前部的上層經紗應在一個平面中,下層經紗處在另一個平面,這種梭口叫清晰梭口,如圖7-3(1)所示。在其它條件相同的情況下,清晰梭口的前部具有最大的有效空間,引緯條件最好,但是,當綜框頁數較多或綜框間距較大時,后幾頁綜框的梭口高度過大,以致于相應的經紗伸長過大,產生斷頭。為了緩解這一矛盾,通常將后幾頁綜框的梭口高度適當減小,其結果使下層經紗不處在一個平面內,上層經紗也不處在另一個平面內,這種梭口稱為非清晰梭口,如圖7-3(2)所示。雖然這種梭口各頁綜框動程差距縮小,經紗張力比較均勻,但其前部有效空間小,對引緯極為不利,易造成經紗斷頭、跳花、軋梭及飛梭等織疵或故障,故在實際生產中一般不采用這種梭口,而采用半清晰梭口,即下層經紗處于一個平面內,上層經紗不處在一個平面內的梭口,如圖7-3(3)所示。當織制細特高經密平紋織物(如府綢、羽絨布等),通常采用小雙層梭口,如圖7-4所示。該梭口屬非清晰梭口,即不論在上層或下層,總是第三頁綜的經紗高于第一頁綜的經紗δ,第四頁的經紗高于第二頁綜的經紗δ,這樣可使第一、三頁綜框與第二、四頁綜框的綜平位置錯開,相當于全部經紗交錯時密度減半,有利于開清梭口。

四、經紗的拉伸變形
(一)拉伸變形的計算
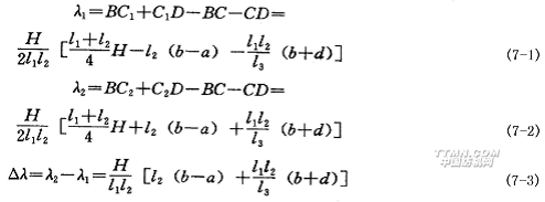
開口過
若不考慮送經和織物卷取過程的影響,并假設綜平和梭口滿開時織口B位于同一位置且梭口上半部和下半部的開口高度相等,開口過程中上、下層經紗的拉伸變形λ1、λ2,可根據梭口的幾何形狀求得,如圖7-1所示。
式中各參數的含意可從圖7-1中直接得到。當后梁位于胸梁之上時d值取“+”,反之取“-”。Δλ代表下層經紗變形大于上層經紗變形的部分,通常是一個正值。
(二)影響拉伸變形的因素
式(7-1)和式(7-2)中,參數a、b值是不變的,梭口前部長度l1由筘座擺動動程決定,也是個常量,因此影響拉伸變形的參數是梭口高度、梭口后部長度及后梁高度。
1.梭口高度對拉伸變形的影響
在梭口的后部長度一定的情況下,經紗變形幾乎與梭口高度的平方成正比,在快速變形條件下,經紗的伸長量同引起伸長變形的外力成正比,即梭口高度的少量增加會引起經紗張力的明顯增大。因此,在保證緯紗順利通過梭口的前提下,梭口高度應盡量減少。
確定合理的梭口高度,涉及的因素很多,既要考慮引緯器的結構尺寸,又要考慮到引緯運動與筘座運動的合理配合,同時與織物的結構、經紗性質及織物品種等因素有關。通常是在鋼筘處于最后位置時,根據引緯器的結構尺寸來確定梭口的合理高度。現以梭子引緯為例,根據梭子的高度和寬度,同時注意在筘座擺到最后位置時梭子正通過梭口這一條件,如圖7-5所示。該時梭子前壁處的梭口高度h0(h0=hs+x)一般稍高于梭子的前壁高度hs若干距離x,x的選擇確定了梭口高度。
由于梭子并不是在筘座位于最后位置這一瞬間通過梭口的,實際上梭子開始
經紗對梭子的擠壓程度用擠壓度P(%)表示:
式中:hs—梭子前壁高度;
h0—經紗片在梭子前壁處的開口高度。
對于棉織物,進、出梭口的擠壓度可分別達到25%和70%。
2.梭口長度對拉伸變形的影響
梭口后部長度增加時,拉伸變形減少;反之,拉伸變形增加。這一因素在生產實際中視加工紗線原料和所織制織物的不同而靈活掌握。例如,由于真絲強力小,通常把絲織機的梭口后部長度放大。又如,在織造高密織物時,可將梭口后部長度縮短,通過增加經紗的拉伸變形和張力,使梭口得以開清。
3.后梁高低與拉伸變形
后梁高低將對梭口上下層經紗張力的差值產生影響,該影響可以通過以下三種情況來加以考察:
(1)后梁位于經直線上:此時,Δλ=0,上下層經紗張力相等,形成等張力梭口。
(2)后梁在經直線上方:此時Δλ>0,下層經紗的張力大于上層經紗,形成不等張力梭口。上、下層經紗張力差值將隨后梁、經停架的上抬而增大。
(3)后梁在經直線下方:Δλ<0,下層經紗的張力小于上層經紗,但這種不等張力梭口在實際生產中極少應用。
相關信息 







推薦企業
推薦企業
推薦企業